Contoh Tazkirah Ringkas Untuk Pelajar

51814316 32807005 Koleksi Tazkirah Pendek Untuk Guru Agama Pegawai Pp

51814316 32807005 Koleksi Tazkirah Pendek Untuk Guru Agama Pegawai Pp

Image Result For Contoh Karangan Cemerlang Pt3 Faedah Menyertai Aktiviti Kokurikulum Words Lisa Blackpink Wallpaper Word Search Puzzle

Image Result For Contoh Karangan Cemerlang Pt3 Faedah Menyertai Aktiviti Kokurikulum Words Lisa Blackpink Wallpaper Word Search Puzzle

Contoh Karangan Ciri Ciri Pelajar Cemerlang Mudah Dan Terbaik In 2020 Projects

Contoh Karangan Ciri Ciri Pelajar Cemerlang Mudah Dan Terbaik In 2020 Projects

Http Appsjohor Moe Gov My Jpnjohor Cmsjpnj Bahanpro Php D 2 A 4903

Http Appsjohor Moe Gov My Jpnjohor Cmsjpnj Bahanpro Php D 2 A 4903

Tajuk Karangan Bahasa Melayu Tahun 3 Malay Language Book Wallpaper Study Tips

Tajuk Karangan Bahasa Melayu Tahun 3 Malay Language Book Wallpaper Study Tips

Jangan Tinggalkan 2 Amalan Sunnah Selepas Solat Subuh Dan Maghrib Solat Jumuah Quotes Doa Islam

Jangan Tinggalkan 2 Amalan Sunnah Selepas Solat Subuh Dan Maghrib Solat Jumuah Quotes Doa Islam

Jangan Tinggalkan 2 Amalan Sunnah Selepas Solat Subuh Dan Maghrib Solat Jumuah Quotes Doa Islam

Tazkirah Ringkas Beramallah Dengan Ilmu Yang Telah Dipelajari Kampung Siglap Mosque Darul Quran Singapore

Tazkirah Ringkas Beramallah Dengan Ilmu Yang Telah Dipelajari Kampung Siglap Mosque Darul Quran Singapore

Laman Ilmu Tips Belajar C Contoh Karangan Insyak Usrati Keluarga Saya Math Tips Typography

Laman Ilmu Tips Belajar C Contoh Karangan Insyak Usrati Keluarga Saya Math Tips Typography

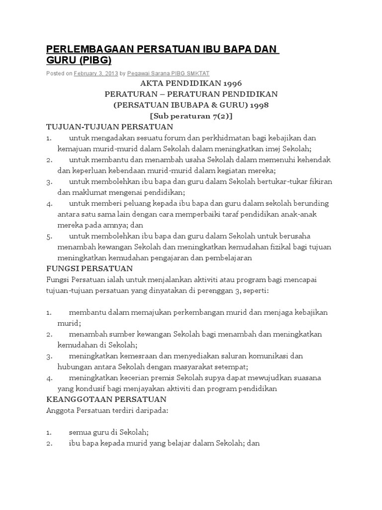
Perlembagaan Persatuan Ibu Bapa Dan Guru

Perlembagaan Persatuan Ibu Bapa Dan Guru

Minda Segar 2011

Minda Segar 2011

Pdf Strategi Intervensi Menangani Penyelewengan Tingkah Laku Seksual Berdasarkan Model Al Ghazali

Pdf Strategi Intervensi Menangani Penyelewengan Tingkah Laku Seksual Berdasarkan Model Al Ghazali

Https Ejournal Um Edu My Index Php Afkar Article Download 5444 3222

Https Ejournal Um Edu My Index Php Afkar Article Download 5444 3222

Peranan Guru Pendidikan Islam Sebagai Pembimbing Di Sekolah Bab 1 5 A

Peranan Guru Pendidikan Islam Sebagai Pembimbing Di Sekolah Bab 1 5 A

Pdf Metodologi Pengajaran Mualaf Di Institut Dakwah Islamiah Perkim Idip The Teaching Method Of Converts In Institut Dakwah Islamiah Perkim Idip

Pdf Metodologi Pengajaran Mualaf Di Institut Dakwah Islamiah Perkim Idip The Teaching Method Of Converts In Institut Dakwah Islamiah Perkim Idip

Jabatan Belia Dan Sukan Negeri Sarawak Rasmi Aras 3 Kompleks Belia Dan Sukan Negeri Sarawak Jalan Tun Ahmad Zaidi Adruce Kuching 2020

Jabatan Belia Dan Sukan Negeri Sarawak Rasmi Aras 3 Kompleks Belia Dan Sukan Negeri Sarawak Jalan Tun Ahmad Zaidi Adruce Kuching 2020

Http Fptp Uthm Edu My V3 Images Pekeliling 2015 Pekeliling 20pengurusan 20fptp 20bil 2022015e Pdf

Http Fptp Uthm Edu My V3 Images Pekeliling 2015 Pekeliling 20pengurusan 20fptp 20bil 2022015e Pdf

Doc Contoh Kertas Kerja Program Personaliti Islamik 2012 Suhaimi Ismail Academia Edu

Doc Contoh Kertas Kerja Program Personaliti Islamik 2012 Suhaimi Ismail Academia Edu

Jabatan Belia Dan Sukan Negeri Sarawak Rasmi Aras 3 Kompleks Belia Dan Sukan Negeri Sarawak Jalan Tun Ahmad Zaidi Adruce Kuching 2020

Jabatan Belia Dan Sukan Negeri Sarawak Rasmi Aras 3 Kompleks Belia Dan Sukan Negeri Sarawak Jalan Tun Ahmad Zaidi Adruce Kuching 2020

Http Studentsrepo Um Edu My 8939 4 Siti Moliza Pdf

Http Studentsrepo Um Edu My 8939 4 Siti Moliza Pdf

Pengertian Islam Iman Dan Ihsan Wla 104 03 Pengajian Islam

Pengertian Islam Iman Dan Ihsan Wla 104 03 Pengajian Islam

Tazkirah Ringkas Untuk Pelajar

Tazkirah Ringkas Untuk Pelajar

Amanah Itu Berat Tetapi Pahalanya Amatlah Besar

Amanah Itu Berat Tetapi Pahalanya Amatlah Besar

4 Contoh Resume Terbaik Untuk Lepasan Spm Stpm Fresh Graduate Modern Resume Design Resume Resume Design

4 Contoh Resume Terbaik Untuk Lepasan Spm Stpm Fresh Graduate Modern Resume Design Resume Resume Design

Pertemuan Agung 2013

Pertemuan Agung 2013

Https Encrypted Tbn0 Gstatic Com Images Q Tbn 3aand9gct14lp1xnpbfypz0rqn4vnzbzswg5fzfvksqphom4rr7whyvmfk Usqp Cau

Https Encrypted Tbn0 Gstatic Com Images Q Tbn 3aand9gct14lp1xnpbfypz0rqn4vnzbzswg5fzfvksqphom4rr7whyvmfk Usqp Cau

Tazkirah Ringkas Untuk Pelajar

Tazkirah Ringkas Untuk Pelajar

5 Cara Untuk Memulakan Ucapan Yang Hebat Mudah Mengajar

5 Cara Untuk Memulakan Ucapan Yang Hebat Mudah Mengajar

Http Etd Uum Edu My 6888 2 S95685 01 Pdf

Http Etd Uum Edu My 6888 2 S95685 01 Pdf

Panduan Badan Dakwah

Panduan Badan Dakwah

Jangan Tinggalkan 2 Amalan Sunnah Selepas Solat Subuh Dan Maghrib Solat Jumuah Quotes Doa Islam

Jangan Tinggalkan 2 Amalan Sunnah Selepas Solat Subuh Dan Maghrib Solat Jumuah Quotes Doa Islam

Source : pinterest.com